学习目标

◇ 掌握双眼视觉测量的流程。
◇ 掌握调节功能测量的方法。
◇ 掌握聚散功能测量的方法。
◇了解AC/A 的概念及运用。

双眼视觉功能的测量内容多、技术性强、分析程序相对复杂。临床上大体可以将其分为3个部分:① 非斜视性视觉功能测量,主要针对非斜视者的调节和集合功能;② 斜视,主要确定是否斜视,斜视类型及严重程度;③弱视,需要发现诱发弱视的原因、弱视程度及预后判断。任何一种或一类测量均由一系列测量技术项目构成,并遵循一定的检测流程。双眼视觉的相关检测是在临床常规检测过程中发现异常,或者在患者有一定相关症状或体征时开始或开展的,表2-1归纳了双眼视觉问题的检测时机和条件。

表2-1 双眼视觉问题的检测时机和条件

检测目的

检测时机

检测准备条件

配合要求

非斜视性视觉功能
(调节/集合)

眼疲劳/阅读困难

屈光检查和矫正后

高度配合

斜视

体检发现/症状/体征

屈光检查

高度配合

弱视

体检发现/症状/体征

屈光检查

部分配合

本章将阐述的测量内容为双眼调节和辐辏基本功能,主要针对非斜视性、非弱视性,但由于双眼功能系统存在一些问题,在临床表现为视觉疲劳、重影、视远或近模糊等症状的患者。这些检测数据的获得,不仅可以协助明确诊断,而且可以指导处理方法的选择,以及处理过程和预后情况的检测。

一般的流程是在完成病史采集、初始检测和验光之后,并且在患者主诉中有一定程度的症状才进行这些功能检测。建议在综合验光仪全状态下进行,先远距测试项目,后近距测试项目。双眼视功能检测流程和基本内容见图2-1。

2-1 双眼视功能检测流程和基本内容.PNG

第一节 与调节相关的功能测量

一、调节幅度

调节远点是指当调节完全放松时,与视网膜共轭的一点。调节近点是指当充分调节时,与视网膜共轭的一点。调节幅度是调节点和调节点之间距离的屈光度表示形式。如果调节的远点位于光学无穷远处,也就是0.00D,那么调节幅度就等于调节近点即近注视距离的倒数。测量调节幅度的方法有移近法、移远法和负镜片法。
1.移近法、移远法 移近法旨在找出调节的近点,即产生最大调节反应的调节刺激位置。将视标逐渐移近被检者,直至近点。移远法则将视标置于近点之内并逐渐移远,直至视标完全清晰。移近法测得的调节幅度往往高于移法测得的调节幅度,差异有显著性意义。一种折中的方法是取移近法和移远法的平均值。
2.负镜片法 在此法中,视标被固定于 40 cm 处,眼前放置负镜片,逐渐增加负镜片度数,直至被检者不能看清视标。最大调节幅度即所增加的负镜片值加上工作距离(2.50D)。负镜片法中,视标位置固定,在负镜片增加的同时,被检者看到的视标逐渐变小;而在移近法中,视标位置变化,随着视标逐渐移近,被检者看到的视标逐渐增大,这导致测量的结果有一定的差异。

二、调节反应

当给予调节刺激时,人眼将做出相应的调节反应,最常见的测量方法为动态检影法(monocu-lar estimation method,MEM)。


1. 动态检影镜测量调节反应

【目的】 客观检测对近距调节刺激所产生的调节反应。
【设施】 检影镜、MEM检影镜卡(图2-2)、试镜片或排镜。
【准备】 将 MEM 检影镜卡粘贴在检影镜上,室内照明为常规房间照明。被检者配戴习惯性矫正眼镜,测量在双眼注视状态下进行。

2-2 MEM检影镜卡.PNG

【步骤】
(1)检测者的位置:① MEM 检影镜卡在被检者习惯性阅读距离。② 检测者位于被检者的中线,使得被检者处于习惯阅读状态,从右眼开始检测。
(2)使用垂直位检影光带。
(3)指导被检者阅读卡上的字母或字。
(4)在被检者阅读的时候,快速检影,并观察瞳孔中央区的影动。整个过程中快速是关键。
(5)使用排镜达到中和,获得调节反应度数。
(6)重复上述步骤,测量左眼。
【记录】
(1)记录测量的方法,如 MEM。
(2)记录中和的度数。
举例: MEM OD: +0.50D OS: +0.75D
2. 计算机验光仪 调节反应还可以采用计算机验光仪获得,在临床研究中常常采用开放视野型计算机验光仪。将被检者看远距离视标所测得的屈光度作为基数,然后将视标移到 40 cm距离再次测量,将此时获取的屈光度减去远距离注视时的屈光度,则为40cm调节刺激下的调节反应。

三、负相对调节和正相对调节

负相对调节是指在集合保持稳定的情况下能放松的调节,即矫正基础上加正镜至模糊,该增加的量为负相对调节量。正相对调节是指在集合保持稳定的情况下,能做出的最大调节量,即在矫正基础上加负镜至模糊,该增加的量为正相对调节量。
【目的】 集合保持不变时,在双眼视的情况下,测量患者增加和减少调节的能力。在这种情况下,调节性集合通过融像性聚散得到代偿,该测试是视功能测试的一部分,常在老视验配中应用。
【设施】 综合验光仪,近距注视卡,近点杆,照明光源

【准备】
(1)在综合验光仪中将患者的远距屈光矫正度数调整好(如果是非老视者),如果患者为老视者,则放置试戴加光度数。
(2)将近距注视卡放在40cm处,照明良好。
(3)调整好近距瞳距,确认双眼均无遮盖。
【步骤】
(1)指导患者注视近距视力表上比最佳视力大一行或两行的视标。
(2)先做NRA,即双眼同时增加正镜片(以+0.25D为增率),直至患者首次报告视标持续模糊(首次报告是指患者注意到视标变模糊但仍能阅读出来)。
(3)记录增加的正度数总量。
(4)将综合验光仪中的度数重新调整到原始度数。
(5)确认视标是清晰的。
(6)开始做 PRA,即双眼同时增加负镜片(-0.25D为增率),直至患者首次报告视标持续模糊,记录增加的负度数总量(图2-3)。

2-3负相对调节正相对调节测量.PNG

【记录】
(1) NRA/PRA: +2.25/−2.50。
(2) NRA/PRA:+1.00/−1.00。阅读附加:+1.25。

四、调节灵活度

调节灵活度指调节刺激在不同水平变化时所做出的调节反应的速度,即测量调节变化的灵敏度。调节刺激在两个不同的水平交替变换,在调节刺激每次变换后,当视标开始变清时请检者立即报告,测量者计算每分钟的循环数(从一个刺激水平变换至另一个水平再换回来算一个循环),单位为 cpm。

调节灵活度测量的标准方法是采用一对一侧为+2.00D、另一侧为 -2.00D 镜片的镜片反转拍(flipper)进行镜片摆动法测量。测量在屈光矫正的基础上进行,起始+2.00D,测试距离通常为40cm,要求看近距 Snellen字母视标4.8~5.0的视力行,请被检者在每转动转拍后字母变清晰时立即报告,记录每分钟的循环数。

调节灵活度的测量与强度工作效率有关,所以一般建议如果1分钟测试中被检者不通过,则需重复第2分钟和第3分钟;如果灵活度速率仍在测试平均水平以下,或者在第2分钟和第3分钟中递减,则说明测试不通过。

【目的】 测量在单眼或双眼状态下,调节反应的准确性和灵敏性(图2-4)。
【设施】 ±2.00D 反转拍,近距视力表,眼罩,偏振片眼镜和偏振片阅读片,照明光源,计时表。

2-4 调节灵活度测量.PNG

【准备】
(1)被检者配戴全矫眼镜。
(2)被检者手持阅读卡,距眼 40 cm,照明良好。
(3)双眼同时测量时使用偏振片,单眼时不用。

【步骤】
(1) 将 +2.00D 对着被检者右眼,嘱其待阅读卡清楚时立刻报告。
(2)一旦阅读物变清,迅速将拍转到-2.00D面。
(3) 如此重复,将两面作为一个循环,记录每分钟多少个循环。
(4)重复以上程序测量左眼。
(5) 让被检者配戴偏振眼镜,将偏振阅读片放置在阅读物前,双眼同时注视。
(6)重复以上测试,测试过程如发现单眼抑制,请记录。
【记录】分别记录单眼和双眼调节灵活度,如OD:12cm,OS:11 cpm;OU:5 cpm。

第二节 聚散能力测量

集合(辐辏)和发散是双眼向内和向外的协同运动。

集合以棱镜度()为单位,即为光线通过1m远的距离产生垂直偏离1cm。例如,一位患者瞳距 60mm,注视眼前正中 1 m 远的一点,则每只眼睛向内转 3 (1 m 偏离3cm),双眼集合即为6。如果不是1m,则需要乘以偏离量。因此,当双眼注视眼前 50 cm 远的一点时(瞳距60 mm),每只眼的集合为6,双眼为 12。再如,注视距离为6m,瞳距仍为60 mm,则每只眼的集合为0.5,双眼为1。集合的大小与眼的转动中心和镜架平面有关。但眼的转动中心不止一个点,且每只眼都有差别。通常认为转动中心位于角膜顶点后14mm 或镜架平面后27mm(图2-5)。

2-5 眼球转动时的集合需求.PNG

临床中测量集合大小通常以镜架平面为基准。因此,验光仪上阅读杆的刻度要以镜架平面为基准加以调零,如当近距离阅读杆的读数是40cm时,调节刺激即为2.50D,而集合刺激的计算则要加上2.7cm,即为42.7cm。如果患者的瞳距是64mm,测量距离为40cm,则每只眼所需的集合为3.2(1/0.427)=7.49,约为7.50,双眼约为15

一、集合近点测量

【目的】 测量双眼在保持融像的前提下的会聚能力。
【设施】 笔式手电筒,红玻璃,近调节视标(贴在笔式手电筒上或压舌板上),4个大小不同的视标(视力4.0~4.9),头灯。笔式手电筒仅用作NPC 的普查视标,当辐辏近点小于7cm时,应该使用调节视标。
【步骤】
(1)被检者配戴习惯矫正眼镜。
(2)头灯朝向注视视标。
(3) 笔式手电筒或调节视标从40 cm 开始。
(4)指导被检者注视视标,并说明看到几个视标:① 如果视标看起来为2个,则将视标移远些,直至视标为单个。②将视标移向被检者,注意观察被检者的眼睛,直至被检者报告看到2个像,或检测者观察到被检者的一眼离开了注视视标。
(5)记录该距离,即为被检者集合的破裂点。
(6)将视标向离开被检者方向移动,注意观察被检者的眼睛,直至双眼回到注视视标状态,或被检者报告由原来的双像变为单像,该距离为被检者的集合恢复点。
【结果】 记录 NPC(sc或cc),记录破裂点和恢复点,若被检者一直能集合至视标接近鼻,则记录为 TTN。破裂点正常值为(3±4)cm;恢复点正常值为(5±5cm)。

二、聚散力的概念

为了测量聚散能力,我们必须使患者的双眼朝内运动或朝外运动,棱镜可以达到这个目的,指导患者注视一视标(与隐斜检查一样的视标),将棱镜放在双眼前,使患者的眼球移动。
将底朝内的棱镜放在双眼前时,光线朝基底偏折,将像移向各自视网膜的鼻侧点,由于物像不再在患者双眼视网膜的黄斑部,患者不得不将眼球外转。
当双眼前的棱镜度数增加时,患者双眼继续发散以保持物像始终在其黄斑部位置,当无法再将其双眼朝这个方向移动时,他将看到双像,这就是患者的负融像性集合或者发散,双眼前的底朝内棱镜引起患者双眼发散。
将 BO棱镜放在各眼前时,光线朝棱镜基底方向偏折,将物像移到各视网膜的颞侧,由于物像不再落在视网膜的黄斑部,患者将移动双眼球,将黄斑部对准眼前的物像。
随着眼前 BO 棱镜度数的增加,两眼继续使用集合以保持物像在其黄斑部,当双眼不能向鼻侧移动眼球时,患者报告双像,这就是患者的正融像性集合或会聚。
做水平聚散度测量时,请患者注视字母视标,当字母出现模糊时报告,当字母出现双个时报告,当字母又变回单个时报告。
模糊点表示患者再也不能代偿由棱镜引起的视网膜视差,但仍能保持稳定的调节。

破裂点表示患者使尽所有的聚散能力仍然不能保持单个物像,当患者看到双像时,检查者稍微减少棱镜量并询问患者是否又看到单个像,一旦患者看到单个像,则其眼睛已经回到隐斜位置。

恢复点说明诱发的视网膜视差已经下降到患者又能启用聚散系统的范围,又能从隐斜的位置获得单个像。

当测量水平聚散度时,记录3个数据:①患者报告出现模糊的总棱镜度数;②患者报告出现双像的总棱镜度数;③患者报告回到单个像时的总棱镜度数。

三、集合/发散力测量

集合/发散力的测量分为水平和垂直相测量、远距和近距测量。因为临床上垂直测量数据利用很少,所以常规只做水平相的远距和近距集合/发散力测量。以下举例描述远距测量,近距测量步骤相同(除调整近距视标和瞳距外)。

【目的】 用棱镜诱发水平位置视网膜像视差,逐渐增加棱镜度数,强迫患者动用集合/发散系统补偿视差以保持双眼视觉的能力,从而测量双眼水平方向集合和发散的能力。
【设施】 综合验光仪,远距视力表(能出现单个视标)。
【准备】
(1)在综合验光仪上将患者的远距屈光矫正度数调整好,瞳距对好。
(2)视力表为单个视标,视标比最佳视力视标大一行。
(3)将 Risley 棱镜摆到患者的注视孔前,调整在零位置(图2-6),使之能在水平位调整镜度。

2-6 Risley 棱镜摆放位置.PNG

【步骤】
(1)指导被检者睁开双眼,问他看见什么。此时其应该看到清晰的视标,如果看到2 个视标,结束该检测,诊断为“复视”。
(2)指导被检者看视标时极力保持视标的清晰,嘱被检者出现以下现象时报告:① 视标模糊(模糊点);②视标变成2个(破裂点);③视标移向左边或右边(这时说明一只眼睛被抑制,通过询问视标朝哪一个方向移动可以判断哪一眼被抑制。视标将移向非抑制眼前棱镜顶的方向。例如,如果检测 BO 聚散时,患者报告视标移向左边,说明右眼在注视,左眼被抑制)。
(3)以1/s 的均匀速度增加双眼前 BI 棱镜,先做 BI检测,再做 BO 检测,这是因为 BO 检测影响调节和集合,从而有可能影响 BI 的检测结果。
(4)记录当患者分别报告模糊点、破裂点和恢复点时的双眼棱镜度数总和。
【记录】
(1)标明为远距检测,注明不同棱镜方向(BI、BO)的检测结果。
(2)每项结果应包括3个值:即模糊点、破裂点和恢复点的棱镜度。
(3) 如果无模糊点,用×来表示。
(4)如果恢复点与你期望的方向相反,用负值表示。
【举例】
(1)远距聚散力:BIx/10/4;BO12/18/8。
(2) 远距聚散力:BI右眼抑制;BO 4/6/−2。
【正常值】
Morgan(成人,临床人群): 远距 BI:x/7/4;标准差x/3/2。
远距 BO:9/19/10;标准差4/8/4/。
Saladin and Sheedy:远距 BI:x/8/5;标准差x/3/3。
远距 BO:15/28/20;标准差7/10/11。

第三节 隐斜和 AC/A 测量

一、隐斜的概念和意义

隐斜(隐性斜视的简称)是在缺乏足够融像刺激的情况下,一眼与另一眼的相对方向不一致,为融像破坏时的双眼位置。当双眼睁开同时视时,患者的融像使双眼保持一致,在缺乏足够融像刺激时隐斜暴露出来。遮盖试验就是通过遮盖一眼将融像破坏,使被遮盖眼移动到其隐斜位置,因为被遮盖后就不需要融像了。

图2-7 为两个不同类型的患者,一位为外隐斜,一位为内隐斜,由于均属于隐斜,当双眼睁开时,均为双眼单视。但是,他们使用不同类型的融像聚散度来满足其隐斜的要求,外隐斜的患者必须通过集合将其隐斜眼球移动到双眼单视位置,而内隐斜患者必须通过发散将其隐斜眼球移动到双眼单视位置,两者都使用了融像性聚散度,但类型不同。集合性聚散补偿外隐斜,发散性聚散补偿内隐斜。

除了满足隐斜的双眼融像条件外,还必须有融像储备聚散度,以保持双眼单视舒适的需要。

测量隐斜的条件是:① 破坏融像;②当融像被破坏后,能确定视轴的位置(即眼睛朝内、外、上、下);③ 能测量或中和隐斜,在隐斜测量中,我们使用棱镜将物像移到偏斜眼的黄斑部。

破坏融像有以下几种方法:①遮盖(如遮盖试验);② 棱镜;③ 滤片(如在 Worth 4点试验中,配戴红绿滤片,使某些患者隐斜表现更明显,偏振片也能破坏融像);④将一眼的像变形(如Maddox 杆,一种特殊的滤片);⑤生物隔膜(立体镜和双目望远镜)。

测量隐斜时,必须谨慎地控制影响因素,使结果有重复性和可信性。临床上常用的测量方法有遮盖测试法、von Graefe 法和 Maddox 杆法等。

2-7 外隐斜和内隐斜.PNG

二、AC/A 测量

调节和辐辏是一个联动系统,调节会引起相应的辐辏活动,而辐辏活动会诱导调节的发生。临床上比较常用的表达该系统关系的为调节引起的调节性辐辏,其测量可以表达为调节/集合系统的功能。临床上常用调节性集合(用棱镜度来表示)与调节(用屈光度D来表示)的比率来表示,即 AC/AAC/A有一个正常的分布范围,65%人群的AC/A在3/1~5/1,平均为4/1,AC/A对某一个体来讲相对稳定,但随年龄的增长会有变化。

临床上可通过两种方法确定 AC/A:梯度性(gradient)AC/A和计算性(calculated)AC/A,这两种方法也称为临床性AC/A或刺激性 AC/A 测量。

1. 梯度性 AC/A 用梯度性方法测量AC/A时,我们做2次近距 von Graefe 测量:第一次用矫正处方测量,然后在该处方上加+1.00D或-1.00D后再测量一次,比较两者的隐斜量。 +1.00D或-1.00D 将调节改变一个D,调节刺激的改变将引起调节集合的改变,隐斜量的改变取决于患者的AC/A,如果患者的AC/A为4/1,那么当我们增加处方+1.00D时,其近距隐斜将改变4△。

举例:(每一例为不同的患者)
(1) NLP 为外隐斜(exophoria,exo)4,记为4exo。
加上+1.00D后NLP为8exo。
梯度性AC/A:4/1。
(2) NLP 为内隐斜(esophoria,eso)8,记为8eso。
加上+1.00D后NLP为2eso。
梯度性AC/A:6/1。

2.计算性 AC/A 调节性集合表示从远距注视到近距注视的隐斜的变化,知道远距和近距的隐斜(在同样的屈光矫正处方下),就能计算患者的AC/A,见“大N”方法计算AC/A(图2-8)。

例1 远距时患者4exo 近距时6eso。当注视从远距变到近距时,调节量为2.5D,集合25(4+15+6)(图2-9)。所以,该患者的AC/A=25/2.5=10/1。

2-8“大N”方法计算 AC:A图2-9 例1示意图.PNG

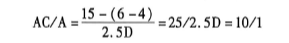
例2 远距时患者4eso,近距时 2exo,注视从远距变到近距时,调节量为2.5D,总集合量
9[15 - (4+2)](图2-10)。该患者的AC/A=9/2.5 =3.6/1。
以下公式可用于计算AC/A:

ac比a计算公式.PNG

集合需求=近距离(用来表示)×瞳距(用cm表示) 生理性外隐斜 = NLP-DLP(外隐斜为+,内隐斜为-)
例如:患者的瞳距为60mm,DLP为4exo,NLP为6exo(40 cm)

例ac比a计算公式.PNG

利用 AC/A 诊断双眼视问题,某些双眼视问题有很高的AC/A,另一些类型的双眼视问题有很低的 AC/A。也可利用 AC/A 来预测处方改变对患者的隐斜所产生的影响,低 AC/A 的患者处方改变后对其隐斜影响较小,高AC/A者则正好相反。计算性AC/A的结果通常较梯度性 AC/A高,因为计算性 AC/A 测量受近感知集合的影响,一次在近距测,一次在远距测,结果中包含近感知集合;而梯度性AC/A均在近距测量,两次测量均有近感知集合,互相抵消。

2-10 例2示意图.PNG

三、von Graefe 方法测量隐斜

1. 测量远距水平隐斜

【目的】 远距注视时双眼融像破坏后测量双眼视轴的水平相对位置。
【设施】 综合验光仪(头),远距视力表(能出现单个视标)。
【准备】
(1)在综合验光仪上将患者的远距屈光矫正度数调整好,对好瞳距。
(2)视标:最佳视力上一行单个视力表视标。
(3)将Risley 棱镜摆到患者的注视孔前,调整棱镜时请患者将双眼闭上,右眼前放置12BI,
左眼前放置6BU,12BI 作为测量镜,6BU作为分离镜(图2-11)。

2-11 Risley 棱镜摆放位置.PNG

【步骤】
(1)请患者将双眼睁开,问他看到多少个视标,以及它们的相互位置关系。此时应该看到两个视标,一个在右上方,一个在左下方。① 如果患者报告只看到一个视标,检查一下是否一眼有遮盖或有什么遮挡了患者一眼的视线。② 如果患者报告看到两个视标,但是一个在左上,一个在右下,这时请增加右眼前的棱镜度数,至一个视标在右上,一个在左下。
(2)让患者注视下方的视标,并保持视标的清晰。
(3)在注视下方视标的同时用余光注视上方的视标,并告诉患者医师会通过有趣的方法将上方的视标与下方的对齐。
(4)以 2/s的速度减少右眼棱镜度,直至患者报告2个视标在垂直线上对齐。记录此时的棱镜底方向和度数。
(5)继续以同样方向转动棱镜直至患者又看到2个视标:一个在右下,一个在左上。
(6)然后以反方向转动棱镜,直至又将2个视标对齐,记录此时的棱镜底方向和度数。
(7)第4步和第6步值的平均值就是测量的结果(图2-12)。

2-12 棱镜检查结果举例.PNG

【记录】 记录棱镜度和偏斜的类型。
【举例】
DLP:正视。
DLP:2外隐斜。
DLP:4内隐斜。

2. Von Graefe 法测量远距垂直隐斜

【目的】 远距注视时将双眼融像破坏后测量双眼视轴的垂直相对位置。
【设施】 综合验光仪(头),远距视力表(能出现单个视标)。
【准备】
(1)在综合验光仪上将患者的远距屈光矫正度数调整好,瞳距对好。
(2)视标:最佳视力上一行单个视力表为视标。
(3)将 Risley 棱镜摆到患者的注视孔前,调整棱镜时请患者将双眼闭上,右眼前放置12BI,左眼前放置6BU,不同的是6BU作为测量镜,12BI作为分离镜(图2-13)。

2-13 Risley 棱镜摆放位置.PNG

【步骤】
(1)请患者将双眼睁开,问他看到多少个视标,以及它们的相互位置关系。此时应该看到两个视标,一个在右上方,一个在左下方。①如果患者报告只看到一个视标,检查一下是否一眼有遮盖或有什么遮挡了患者一眼的视线。②如果患者报告看到两个视标,但是一个在左上,一个在右下,这时请增加右眼前的棱镜度数至一个视标在右上,一个在左下。
(2)让患者注视右上方的视标,并保持视标的清晰。
(3)在注视右上方视标的同时用余光注视左下方的视标,并告诉患者医师会通过有趣的方法将左边的视标移动至与右边对成一水平。
(4)以2/s的速度减少左眼棱镜度,直至患者报告两个视标在水平线对齐。记录此时的棱镜底方向和度数。
(5)继续以同样的方向转动棱镜直至患者又看到两个视标:一个在右下,一个在左上。
(6)然后以反方向转动棱镜直至又将两个视标对齐,记录此时的棱镜底方向和度数。
(7) 第(4)步和第(6)步值的平均值就是测量的结果(图2-14)。

2-14 棱镜检查结果举例.PNG

【记录】 记录棱镜度和偏斜的类型。
【举例】
DVP:正视。
DVP:2右上隐斜。

DVP:1左上隐斜。

3. Von Graefe 法测量近距水平隐斜

【目的】 测量近距注视时双眼融像破坏后双眼视轴的水平相对位置。该方法还可用于测量 AC/A 比率,即在第一次近距水平隐斜测量后,加-1.00D或+1.00D球镜后再测量一次近距水平隐斜。
【设施】 综合验光仪,近点杆,近距视力表(能出现单个视标),合适照明。
【准备和测量】 除视标、瞳距和照明外,其他准备和测量程序同“测量远距水平隐斜”,检测距离 40 cm。

【记录】
(1)记录棱镜度和偏斜的类型。
(2)记录放置的度数(+1.00D或-1.00D)后重复测量,记录隐斜度数,两个隐斜度数差的量为 AC/A。

【举例】
NLP:正视。
NLP:2外隐斜, -1.00 2 内隐斜,AC/A=4/1。
NLP:4内隐斜,+1.00 3外隐斜,AC/A=7/1。

4. 测量近距垂直隐斜

【目的】 测量近距注视时双眼融像破坏后双眼视轴的垂直相对位置。
【设施】 综合验光仪(头),近点杆,近距视力表(能出现单个视标),合适照明。
【准备和测量】 除视标、瞳距和照明外,其他准备和测量程序同“测量远距垂直隐斜”,检测距离 40 cm。
【记录】 记录棱镜度和偏斜的类型。

【举例】
NLP:正视。
NLP:1右上隐斜。
NLP:3 左上隐斜。

第四节 其他感觉融像测量

临床上常规用立体视检测方法检测感觉融像功能,当立体视异常时用 Worth 4 点来检测。

一、立体视检测

立体视是指能否将右眼和左眼的两个像结合成单个三维立体像。立体视的衡量单位为立体视觉锐敏度(stereoacuity),也称立体视锐度,是指人们在三维空间分辨最小相对距离差别的能力,以双眼视差的最小辨别阈值来表示,以“秒”(”)为表达单位,“秒”数越小表明其立体视觉越敏锐。正常成年人立体视锐度≤60″,平均40″。当立体视异常,如立体视锐度高于40”时,我们应该用 Worth 4 点来检测患者是否有平面融像功能。立体视的检测方法如下。

1. Titmusstereo test 图卡

Titmusstereo test 图卡由三部分组成:3000”立体视锐度的“大苍蝇”视标,400″~100”立体视锐度的“小动物”视标及800”~20”立体视锐度的“圆圈”视标(图2-15)。使用时需要被检者配戴偏振光眼镜,并在40cm的检查距离进行。如果受检者有屈光不正要配戴相应的矫正眼镜。

2. TNO 随机点立体图

TNO 随机点立体图是用红绿二色印刷的随机点立体图卡,共有7张:前3张用于定性筛选有无立体视,第4张用于测定有无单眼抑制,后3张用于定量测定立体视锐度(图2-16)。检查时要求受检者配戴红绿眼镜,检查距离为40cm,首先用筛选图进行立体视的定性测试,嘱受检者正确识别在红绿背景中隐藏的蝴蝶、十字及三角形等图形,然后用定量图测量立体视锐度,嘱受检者正确识别隐藏的扇形图的缺口朝向,共分480″,240″,120″,60″、30”、15″六级。

2-15 常用的检查图卡2-16 TO随机点立体图其中一页.PNG

3. 随机点立体视觉检查图

随机点立体视觉检查图其使用方法与上述方法类似:在自然光线下,配戴红绿眼镜在40 cm 距离进行检查,检测时先从视差大的图形开始,正确识别后按顺序检查,每图均有既定的立体视锐度作为参考。

4. 同视机检查

同视机有定性的立体视图片及定量的随机点立体视图片,因此能定性及定量检查立体视觉。检查方法为受检者坐在同视机前,调整下颌托及瞳距,使双眼视线与镜筒高度平行,先进行同时视觉检查和融合功能检查,如正常,再用Ⅲ度立体视片先定性、后定量检查立体视功能:将两画片同时放入镜筒片夹处,让受检者说出所辨认的图形或特征,检查者判断其回答得正确与否,并按所用的检查图号得出立体视锐度值。

二、Worth 4 点检测
Worth 4 点检测是从复像反应中确定视轴的位置。如图2-17所示,有一个绿、两个红、一个白构成的4个点,配合照明。左、右眼分别配戴红绿滤光片。

图2-17 Worth 4点的手电及红绿滤光片眼镜.PNG

Worth 4 点检测结果见图2-18。

(1)融像反应:患者看到4点,右眼和左眼的像落在视网膜对应点上, 即有相同的局部信号——朝正前方。
(2)抑制反应:患者用右眼看到2点,说明他没有用左眼看(左眼被抑制);或者他仅用左眼看到3点,说明右眼被抑制。
(3)复像反应:患者看到5点,说明2点成像在右眼的局部信号与3点成像的左眼局部信号不同。① 红点和绿点成像在非对应点上。② 双眼注视 Worth 4 点光照不一致时出现。③ 当双眼不一致时,有一眼在注视,另一眼偏离。

2-18 Worth 4 点检测结果判断.PNG


A.看到4个灯(正眼具有正常周边融合者、内斜视伴异常视网膜对应者);

B.看到2个红灯(右眼注视,左眼抑制);
C.看到3个绿灯(左眼注视,右眼抑制);

D.看到3个绿灯、2个红灯(正常视网膜对应者出现复视)

对 Worth 4 点产生复像反应的患者有两种类型:①在正常情况下不出现融像,这些患者有斜视;② 在正常情况下有融像,但当融像被红绿玻璃片破坏时,不能保持双眼的一致,这些患者有隐斜。

习 题

一、选择题
1. 当近距离阅读杆的读数是50cm时,调节刺激是( )。
A. 2D
C. 3D
B. 2.5D
D.3.5D

2. 测量水平聚散度时,需要记录的数据是( )。
A. 患者报告出现模糊的总棱镜度数
B. 患者报告出现双像的总棱镜度数
C. 患者报告回到单个像时的总棱镜度数

3.以下属于感觉融像测量的是( ) 。
A. 立体视检查
C. 聚散能力
B. 调节幅度
D. 隐斜测量

4. Worth 4点检测,发现结果为5个点,患者存在( )。
A. 融合反应
C. 抑制反应
B. 斜视反应
D. 复像反应

二、思考题
1. 简述调节幅度的概念及测量方法。
2. 为什么隐斜的测量一定包括测量远距隐斜和近距隐斜?
3. 立体视检测的方法包括哪些?
(吕帆)